Câu 19 trang 226 SGK Đại số và Giải tích 11 Nâng cao

Tính giới hạn của các hàm số sau :

Lựa chọn câu để xem lời giải nhanh hơn

Tính giới hạn của các hàm số sau :

LG a

\(\mathop {\lim }\limits_{x \to  – 1} {{{x^2} + x + 10} \over {{x^3} + 6}}\)

Lời giải chi tiết:

\(\mathop {\lim }\limits_{x \to  – 1} {{{x^2} + x + 10} \over {{x^3} + 6}} \) \(= {{1 + \left( { – 1} \right) + 10} \over { – 1 + 6}} = 2\)

LG b

\(\mathop {\lim }\limits_{x \to  – 5} {{{x^2} + 11x + 30} \over {25 – {x^2}}}\)

Lời giải chi tiết:

\(\mathop {\lim }\limits_{x \to  – 5} {{{x^2} + 11x + 30} \over {25 – {x^2}}} = \mathop {\lim }\limits_{x \to  – 5} {{\left( {x + 5} \right)\left( {x + 6} \right)} \over {\left( {5 – x} \right)\left( {5 + x} \right)}} \) \(= \mathop {\lim }\limits_{x \to  – 5} {{x + 6} \over {5 – x}} = {1 \over {10}}\)

LG c

\(\mathop {\lim }\limits_{x \to  – \infty } {{{x^6} + 4{x^2} + x – 2} \over {{{\left( {{x^3} + 2} \right)}^2}}}\)

Lời giải chi tiết:

\(\mathop {\lim }\limits_{x \to  – \infty } {{{x^6} + 4{x^2} + x – 2} \over {{{\left( {{x^3} + 2} \right)}^2}}} \) \( = \mathop {\lim }\limits_{x \to  – \infty } \frac{{{x^6}\left( {1 + \frac{4}{{{x^4}}} + \frac{1}{{{x^5}}} – \frac{2}{{{x^6}}}} \right)}}{{{{\left[ {{x^3}\left( {1 + \frac{2}{{{x^3}}}} \right)} \right]}^2}}} \) \(= \mathop {\lim }\limits_{x \to  – \infty } \frac{{{x^6}\left( {1 + \frac{4}{{{x^4}}} + \frac{1}{{{x^5}}} – \frac{2}{{{x^6}}}} \right)}}{{{x^6}{{\left( {1 + \frac{2}{{{x^3}}}} \right)}^2}}}\) \(= \mathop {\lim }\limits_{x \to  – \infty } {{1 + {4 \over {{x^4}}} + {1 \over {{x^5}}} – {2 \over {{x^6}}}} \over {{{\left( {1 + {2 \over {{x^3}}}} \right)}^2}}} \) \( = \frac{{1 + 0 + 0 – 0}}{{{{\left( {1 + 0} \right)}^2}}}= 1\)

LG d

\(\mathop {\lim }\limits_{x \to  + \infty } {{{x^2} + x – 40} \over {2{x^5} + 7{x^4} + 21}}\)

Lời giải chi tiết:

\(\mathop {\lim }\limits_{x \to  + \infty } {{{x^2} + x – 40} \over {2{x^5} + 7{x^4} + 21}}\) \( = \mathop {\lim }\limits_{x \to  + \infty } \frac{{{x^5}\left( {\frac{1}{{{x^3}}} + \frac{1}{{{x^4}}} – \frac{{40}}{{{x^5}}}} \right)}}{{{x^5}\left( {2 + \frac{7}{x} + \frac{{21}}{{{x^5}}}} \right)}}\) \( = \mathop {\lim }\limits_{x \to  + \infty } {{{1 \over {{x^3}}} + {1 \over {{x^4}}} – {{40} \over {{x^5}}}} \over {2 + {7 \over x} + {{21} \over {{x^5}}}}} \) \( = \frac{{0 + 0 – 0}}{{2 + 0 + 0}} = 0\)

LG e

\(\mathop {\lim }\limits_{x \to  – \infty } {{\sqrt {2{x^4} + 4{x^2} + 3} } \over {2x + 1}}\)

Lời giải chi tiết:

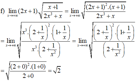
LG f

\(\mathop {\lim }\limits_{x \to  + \infty } \left( {2x + 1} \right)\sqrt {{{x + 1} \over {2{x^3} + x}}} \)

Lời giải chi tiết:

LG g

\(\mathop {\lim }\limits_{x \to  + \infty } \sqrt {9{x^2} + 11x – 100} \)

Lời giải chi tiết:

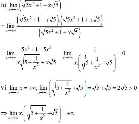
LG h

\(\mathop {\lim }\limits_{x \to  + \infty } \left( {\sqrt {5{x^2} + 1}  – x\sqrt 5 } \right)\)

Lời giải chi tiết:

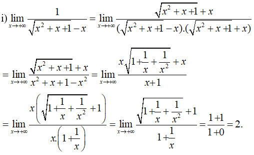
LG i

\(\mathop {\lim }\limits_{x \to  + \infty } {1 \over {\sqrt {{x^2} + x + 1}  – x}}\)

Lời giải chi tiết:

 Webgiaibaitap.com

TẢI APP ĐỂ XEM OFFLINE

ĐẠI SỐ VÀ GIẢI TÍCH – TOÁN 11 NÂNG CAO