Bài 5 SGK trang 126 hoá học 12 nâng cao

Khi nhúng một lá Zn vào dung dịch muối

Đề bài

Khi nhúng một lá \(Zn\) vào dung dịch muối \(C{o^{2 + }}\) thì thấy có một lớp kim loại \(Co\) phủ ngoài lá kẽm. Khi nhúng lá \(Pb\) vào dung dịch muối trên thì không thấy hiện tượng nào xảy ra.

a. Kim loại nào có tính khử mạnh nhất trong số 3 kim loại trên?

b. Cation nào có tính oxi hoá mạnh nhất trong số ba cation kim loại trên?

c. Sắp xếp các cặp oxi hoá – khử của những kim loại trên theo chiều tính oxi hoá của cation tăng dần.

d. Viết phương trình hoá học của phản ứng xảy ra giữa các cặp oxi hoá – khử.

Lời giải chi tiết

a. Kim loại có tính khử mạnh nhất là \(Zn\).

b. Cation có tính oxi hoá mạnh nhất là \(P{b^{2 + }}\).

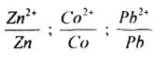
c. 

d. \(Zn + C{o^{2 + }} \to Z{n^{2 + }} + Co,\)

\(Zn + P{b^{2 + }} \to Z{n^{2 + }} + Pb,\)

\(Co + P{b^{2 + }} \to C{o^{2 + }} + Pb.\)

loigiaihay.com

TẢI APP ĐỂ XEM OFFLINE