Bài 5 SGK trang 103 hóa học 12 nâng cao.

a) Cho ví dụ về các loại polime có tính dẻo, tính đàn hồi và tính dai bền có thể kéo thành tơ. b) Cho ví dụ về các phản ứng cắt mạch, giữ nguyên mạch và tăng mạch polime.

Đề bài

a) Cho ví dụ về các loại polime có tính dẻo, tính đàn hồi và tính dai bền có thể kéo thành tơ.

b) Cho ví dụ về các phản ứng cắt mạch, giữ nguyên mạch và tăng mạch polime.

Lời giải chi tiết

a)

  

b)

– Phản ứng cắt mạch:

   + Phản ứng thủy phân: 

\({({C_6}{H_{10}}{O_5})_n} + n{H_2}O\buildrel {{H^ + }} \over
\longrightarrow n{C_6}{H_{12}}{O_6}\)

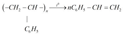
   +Phản ứng đepolime hóa:

 

– Phản ứng giữ nguyên mạch:

   + Phản ứng thế:

\({C_{2n}}{H_{3n}}C{l_n} + kC{l_2}\buildrel {xt} \over
\longrightarrow {C_{2n}}{H_{3n – k}}C{l_{n + k}} + kHCl\)

    + Phản ứng thủy phân

 

– Phản ứng tăng mạch polime:

Lưu hóa cao su:

 

loigiaihay.com

TẢI APP ĐỂ XEM OFFLINE