Bài 3 trang 48 SGK Hóa học 12

Xác định công thức cấu tạo và gọi tên của X.

Đề bài

α-Amino axit X có phần trăm khối lượng các nguyên tố C, H, N lần lượt bằng 40,45%, 7,86%, 15,73%, còn lại là oxi và có công thức phân tử trùng với công thức đơn giản nhất. Xác định công thức cấu tạo và gọi tên của X.

Video hướng dẫn giải

Phương pháp giải – Xem chi tiết

Lời giải chi tiết

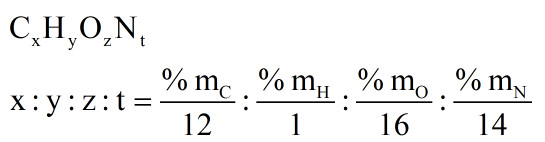
Gọi CTPT của X là CxHyOzNt

%mO = 100% – (%mC + %mH + %mN) = 35,96%

=> x : y : z : t = \(\dfrac{40,45}{12}:\dfrac{7,86}{1}:\dfrac{35,96}{16}:\dfrac{15,73}{14}\) = 3: 7: 2 : 1

CTĐG của X là C3H7O2 N

Vì công thức phân tử của X trùng với công thức đơn giản nhất

=> CTPT: C3H7O2N

CTCT: H2N-CH(CH3)-COOH (Alanin)

Webgiaibaitap.com

TẢI APP ĐỂ XEM OFFLINE