Bài 28.7 trang 66 SBT Hóa học 12

Giải bài 28.7 trang 66 Sách bài tập hóa học 12 – Xác định các chất trong chuỗi phản ứng :

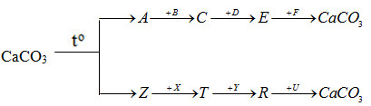
Đề bài

Xác định các chất trong chuỗi phản ứng :

Phương pháp giải – Xem chi tiết

Dựa vào tính chất của các hợp chất để lựa chọn chất phù hợp

Lời giải chi tiết

A: CaO                      B: H2O       

C: Ca(OH)2               D: HCl       

E: CaCl2                    F: Na2CO3 

Z: CO2                      X: Ba(OH)2                

T: Ba(HCO3)2             Y: KOH

R: K2CO3                   U: Ca(NO3)2

Webgiaibaitap.com

TẢI APP ĐỂ XEM OFFLINE