Bài 2 trang 131 SGK Toán 9 tập 2

Rút gọn các biểu thức:

Đề bài

Rút gọn các biểu thức:

\(M = \sqrt {3 – 2\sqrt 2 }  – \sqrt {6 + 4\sqrt 2 } \)

\(N = \sqrt {2 + \sqrt 3 }  + \sqrt {2 – \sqrt 3 } \)

Video hướng dẫn giải

Phương pháp giải – Xem chi tiết

Sử dụng công thức hằng đẳng thức: \(\sqrt {{A^2}} = \left| A \right| = \left\{ \begin{array}{l}A\;\;khi\;\;\;A \ge 0\\- A\;\;\;khi\;\;A < 0\end{array} \right..\)

Lời giải chi tiết

\(\eqalign{&+)  M = \sqrt {3 – 2\sqrt 2 } – \sqrt {6 + 4\sqrt 2 } \cr & =\sqrt {{{\left( {\sqrt 2 } \right)}^2} – 2\sqrt 2 .1 + {1^2}}- \sqrt {{{\left( 2 \right)}^2} + 2.2.\sqrt 2 + {{\left( {\sqrt 2 } \right)}^2}} \cr & = \sqrt {{{\left( {\sqrt 2 – 1} \right)}^2}} – \sqrt {{{\left( {2 + \sqrt 2 } \right)}^2}} \cr & = \left| {\sqrt 2 – 1} \right| – \left| {2 + \sqrt 2 } \right| \cr & = \sqrt 2 – 1 – 2 – \sqrt 2 = – 3 .\cr} \)

+) Cách 1:

\(\eqalign{
& N = \sqrt {2 + \sqrt 3 } + \sqrt {2 – \sqrt 3 } \cr
& \Rightarrow {N^2} = {\left( {\sqrt {2 + \sqrt 3 } + \sqrt {2 – \sqrt 3 } } \right)^2} \cr
& = 2 + \sqrt 3 + 2\sqrt {\left( {2 + \sqrt 3 } \right)\left( {2 – \sqrt 3 } \right)} + 2 – \sqrt 3 \cr
& = 4 + 2\sqrt {4 – 3} = 6. \cr} \)

Vì \(N > 0\) nên \(N^2 = 6 ⇒ N = \sqrt6.\)

Vậy \(N = \sqrt {2 + \sqrt 3 }  + \sqrt {2 – \sqrt 3 }  = \sqrt 6. \)

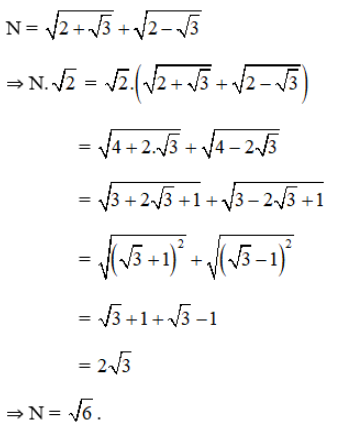
Cách 2: 

TẢI APP ĐỂ XEM OFFLINE