Bài 13 trang 117 Sách bài tập Hình học lớp 12 Nâng cao

a)Tìm trên trục Oy

Lựa chọn câu để xem lời giải nhanh hơn

LG a

Tìm trên trục Oy điểm cách đều hai điểm A(3;1;0), B(-2;4;1).

Lời giải chi tiết:

Điểm cần tìm tọa độ M (0;y;0).

\(\overrightarrow {MA} ({\rm{ }}3;1 – y;{\rm{ }}0)\); \(\overrightarrow {MB}  = \left( { – 2;4 – y;1} \right)\) 

M cách đều A và B nên ta có:

\(\eqalign{
& \Leftrightarrow {3^2} + {\left( {1 – y} \right)^2} = {\left( { – 2} \right)^2} + {\left( {4 – y} \right)^2} + {1^2} \cr 
& \Leftrightarrow 6y = 11 \cr 
& \Leftrightarrow y = {{11} \over 6} \cr} \)

Vậy \(M(0;{{11} \over 6};0).\)

LG b

Tìm trên mặt phẳng (Oxz) điểm cách đều ba điểm

A(1;1;1), B(-1;1;0), C(3;1;-1).

Lời giải chi tiết:

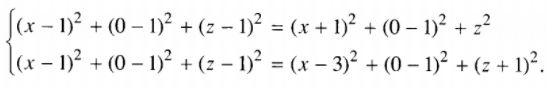
Điểm cần tìm thuộc mp(Oxz) nên M=(x;0;z).

Từ giả thiết, ta có hệ phương trình

Giải hệ, ta được \(x = {5 \over 6},z =  – {7 \over 6}.\)

Vậy \(M = \left( {{5 \over 6};0; – {7 \over 6}} \right).\)

Webgiaibaitap.com

TẢI APP ĐỂ XEM OFFLINE

GIẢI TÍCH SBT – TOÁN 12 NÂNG CAO